Pasar al contenido principal
Inicio
Navegación principal
  • Acerca de
    • ¿Qué es el SINIA?
    • Servicios del SINIA
    • Servicios de Información SIAR y SIAL
  • Información
    • Por ámbito geográfico
    • Por temática ambiental
    • Información Estadística
      • Estadísticas del Sector Ambiente
      • Reportes departamentales
    • Información Bibliográfica
      • Publicaciones Ambientales
      • Publicaciones Científicas
    • Información Normativa
      • Normativa Ambiental
      • Estándares de Calidad Ambiental - ECA
      • Límites Máximos Permisibles - LMP
      • Norma Tecnica Ambiental
    • Información Espacial
      • Visor de mapas SINIA
      • Mapas publicados
      • Geo Servidor
      • Geo Bosques
  • Novedades
  • Especiales
    • Todos los portales destacados
    • Sinia contigo
    • INEA 2014 - 2019
    • Datos Abiertos

Novedades

Sobrescribir enlaces de ayuda a la navegación

  1. Inicio
  2. Novedades
  3. Lista de Permisos Forestales al 2025 en la Región Ucayali
Vie, 04/07/2025 - 12:00

Lista de Permisos Forestales al 2025 en la Región Ucayali

Autor
Servicio Nacional Forestal y de Fauna Silvestre - SERFOR
Fichero Tamaño Formato
PERMISOS_FORESTALES.pdf 401.85 KB PDF
COMPATIR

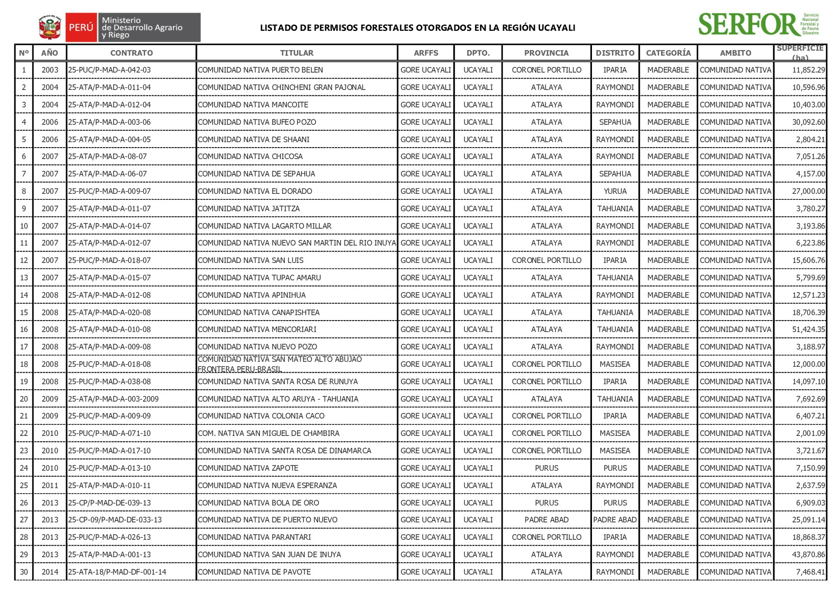
Según reporte del Componente Estadístico - SNIFFS, realizada por el SERFOR , se da a conocer la Lista de Permisos Forestales Otorgadas al 2025 en la Región Ucayali.

reporte estadistico ucayali
permisos forestales
Metadatos Mostrar el registro completo del ítem

Novedades relacionadas

Acta de la Primera Sesión Ordinaria del Grupo Técnico Especializado de Diversidad biológica y Cambio...
Reglamento interno de la CAR adecuado al DS 014-2025-MINAM
ACTA REUNION EXTRAORDINARIA CAR
OPINION LEGAL FAVORABLE A LA ADECUACION DEL SRGA AL DS.014.2024-MINAM
Acta de la IV Sesión Ordinaria de la Comisión Ambiental Regional - CAR Ucayali
26 Septiembre 2025
Avance del Programa Municipal EDUCCA del distrito de Sepahua – Segundo reporte a septiembre de 2025
09 Octubre 2025
Convenio Específico de Cooperación Interinstitucional entre el GOREU y Nature and Culture Internatio...
29 Mayo 2025
GORE Ucayali fortalece capacidades de gobiernos locales para combatir incendios forestales
10 Julio 2025
1º Reunión Ordinaria de la Comisión Ambiental Regional de Ucayali
14 Marzo 2025
2º Sesión Ordinaria de la Comisión Ambiental Regional - CAR
15 Abril 2025

Este sitio web ha sido desarrollado en colaboración con la Dirección de Información, Investigación e Innovación Ambiental del Ministerio del Ambiente

Enlaces de interés

  • MINAM
  • Geoservidor MINAM
  • Geobosques MINAM

Instituciones

  • Senamhi
  • IIAP
  • Inaigem
  • IGP
  • Senace
  • Sernanp
  • OEFA

Contacto

  • (511) 6116000
  • sinia@minam.gob.pe
  • Av. Antonio Miroquesada N° 425 (ex Juan de Aliaga) Urb. San Felipe - Magdalena del Mar, Lima